This is an old revision of the document!


Clustering Models

General audience classification iconGeneral audience classification iconGeneral audience classification icon

Introduction

Clustering is a methodology that belongs to the class of unsupervised machine learning. It allows for finding regularities in data when the group or class identifier or marker is absent. To do this, the data structure is used as a tool to find the regularities. Because of this powerful feature, clustering is often used as part of data analysis workflow prior to classification or other data analysis steps to find natural regularities or groups that may exist in data.

This provides very insightful information about the data's internal organisation, possible groups, their number and distribution, and other internal regularities that might be used to better understand the data content. One might consider grouping customers by income estimate to explain the clustering better. It is very natural to assume some threshold values of 1KEUR per month, 10KEUR per month etc. However:

  • Do the groups reflect a natural distribution of customers by their behaviour?
  • For instance, does a customer with 10KEUR behave differently from the one with 11KEUR per month?

It is obvious that, most probably, customers' behaviour depends on factors like occupation, age, total household income, and others. While the need for considering other factors is obvious, grouping is not – how exactly different factors interact to decide which group a given customer belongs to. That is where clustering exposes its strength – revealing natural internal structures of the data (customers in the provided example).

In this context, a cluster refers to a collection of data points aggregated together because of certain similarities 1). Within this chapter, two different approaches to clustering are discussed:

  • Cluster centroid-based, where the main idea is to find an imaginary centroid point representing the “centre of mass” of the cluster or, in other words, the centroid represents a “typical” member of the cluster that, in most cases, is an imaginary point.
  • Cluster density-based, where the density of points around the given one determines the membership of a given point to the cluster. In other words, the main feature of the cluster is its density.

In both cases, a distance measure estimates the distance among points or objects and the density of points around the given. Therefore, all factors used should generally be numerical, assuming an Euclidian space.

K-Means

The first method discussed here is one of the most commonly used – K-Means. K-means clustering is a method that splits the initial set of points (objects) into groups, using distance measure, which represents a distance from the given point of the group to the group's centre representing a group's prototype - centroid. The result of the clustering is N points grouped into K clusters, where each point has assigned a cluster index, which means that the distance from the point of the cluster centroid is closer than the distance to any other centroids of other clusters. Distance measure employs Euclidian distance, which requires scaled or normalised data to avoid the dominance of a single dimension over others. The algorithm steps schematically are represented in the following figure:

 |  K-means steps
Figure 1: K-means steps

In the figure:

  • STEP 1: Initial data set, where points do not belong to any of the clusters;
  • STEP 2: Cluster initial centers are selected randomly;
  • STEP 3: For each point, the closest cluster centre is selected, which is the point marker;
  • STEP 4: Cluster mark is assigned to each point;
  • STEP 5: The initial cluster centre is being refined to minimise the average distance to the cluster centre from each cluster point. As a result, cluster centres might not be physical points any more; instead, they become imaginary.
  • STEP 6: Cluster marks of the points are updated;

Steps 4-6 are repeated until changes in cluster positions do not change or changes are insignificant. The distance is measured using Euclidian distance:

  Euclidian distance
Figure 2: Euclidian distance

, where:

  • Data points - points {xi}, i = 1, … ,N in multi-dimensional Euclidian space i.e. each point is vector;
  • K – number of clusters set by the user.
  • rnk – an indicator variable with values {0,1} – indicates if data point xn belongs to cluster k;
  • mk – centroid of kth cluster;
  • D – Squared Sum of all distances di to their assigned cluster centroids;
  • Goal is to find such values of variables rnk and m k to minimise D;

Example of initial data and assigned cluster marks with cluster centres after running the K-means algorithm:

  K-means example
Figure 3: K-means example with two clusters

Unfortunately, the K-Menas algorithm does not possess automatic mechanisms to select the number of clusters K, i.e., the user must set it. Example of setting different numbers of cluster centres:

  K-means example
Figure 4: K-means example with three clusters

Elbow method

In K-means clustering, a practical method – the Elbow method is used to select a particular number of clusters. The elbow method is based on finding the point at which adding more clusters does not significantly improve the model's performance. As explained, K-means clustering optimises the sum of squared errors (SSE) or squared distances between each point and its corresponding cluster centroid. Since the optimal number of clusters (NC) is not known initially, it is wise to increase the NCs iteratively. The SSE decreases as the number of clusters increases because the distances to the cluster centres also decrease. However, there is a point where the improvement in SSE diminishes significantly. This point is referred to as the “elbow” 2).

Steps of the method:

  1. Plot SSE against the number of clusters:
    • Computing the SSE for different values of NC, typically starting from NC=2 reasonable maximum value (e.g., 10 or 20).
    • Plotting the SSE values on the y-axis and the number of clusters NC on the x-axis.
  2. Observe the plot:
    • As the number of clusters NC increases, the SSE will decrease because clusters become more specialised.
    • Initially, adding clusters will result in a significant drop in SSE.
    • After a certain point, the reduction in SSE will slow down, not showing a significant drop in the SSE.
  3. The “elbow” point:
    • The point on the curve where the rate of decrease sharply levels off forms the “elbow.”
    • This is where adding more clusters beyond this point doesn't significantly reduce SSE, indicating that the clusters are likely well-formed.
  4. Select optimal NC:
    • The value of NC at the elbow point is often considered the optimal number of clusters because it balances the trade-off between model complexity and performance.

Since the method requires iteratively running the K-means algorithm, which might be resource-demanding, a selection of data might be employed to determine the NC first and then used to run the K-means on the whole dataset.

Limitations:

  • The elbow point is not always obvious; in some cases, the curve may not show a distinct “elbow.”
  • The elbow method is heuristic and might not always lead to the perfect number of clusters, especially if the data structure is complex.
  • Other methods, like the Silhouette score, can complement the elbow method to help determine the optimal NC.
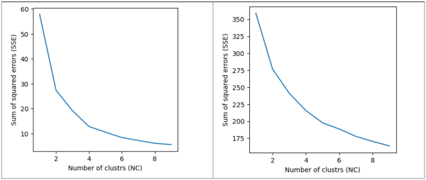
  Elbow example
Figure 5: Elbow example on two synthetic data sets

The figure above demonstrates more and less obvious “elbows”, where users could select the number of clusters equal to 3 or 4.

Silhouette Score

The Silhouette Score is a metric used to evaluate the quality of a clustering result. It measures how similar an object (point) is to its own cluster (cohesion) compared to other clusters (separation). The score ranges from −1 to +1, where higher values indicate better-defined clusters 3).

The Silhouette score considers two main factors for each data point:

  • Cohesion (a(i)) - The cohesion measure for the ith point is the average distance between the point and all other points in the same cluster. It measures the point's proximity to other points in its cluster. A low a(i) value indicates that the point is tightly grouped with other points in the same cluster;
  • Separation (b(i)) – The separation measure fo the ith point estimates the average distance between the point and points in the nearest neighbouring cluster - the cluster that is not its own but is closest to it. A large value for b(i) indicates that the point is far away from the closest other cluster, meaning it is well-separated;

The silhouette score for a point i is then calculated as:

  Silhouette score
Figure 6: Silhouette score

,where:

  • s(i) is the silhouette score for point i.
  • a(i) is the average distance from point i to all other points in the same cluster.
  • b(i) is the average distance from point I to all points in the nearest other cluster.
  • s(i) ≈+1 indicated that the point i is well clustered;
  • s(i) around 0 indicates that the point lies close to the boundary between clusters;
  • s(i) ≈-1 indicated that the point i was most probably wrongly assigned to the cluster;

Steps of the method:

  1. Plot silhouette score (SC) against the number of clusters:
    • Computing the SC for different values of NC, typically starting from NC=2 reasonable maximum value (e.g., 10 or 20).
    • Plotting the SC values on the y-axis and the number of clusters NC on the x-axis.
  2. Observe the plot:
    • As the number of clusters NC increases, the SC shows different score values, which may or may not gradually decrease, as in the case of the “elbow” method.
    • The main goal is to observe the maximum SC value and the corresponding NC value;
  3. Select optimal NC:
    • The value of NC at the maximum SC value is often considered the optimal number of clusters because it balances the trade-off between model complexity and performance.

Limitations:

  • It may not perform well if the data does not have a clear structure or if the clusters are of very different densities or sizes.
  • The Silhouette score might not always match intuitive or domain-specific clustering insights.

An example is provided in the following figure:

  Elbow example
Figure 7: Silhouette example on a synthetic data set

The user should look for the highest score, which in this case is for the 3-cluster option.

DBSCAN

DBSCAN (Density-Based Spatial Clustering of Applications with Noise) employs density measures to mark points in high-density regions and those in low-density regions – the noise. Because of this natural behaviour of the algorithm, it is particularly useful in signal processing and similar application domains. 4).

One of the essential concepts is the point's p neighbourhood, which is the set of points reachable within the user-defined distance eps (epsilon):

  Point's neighbourhood
Figure 8: Point's neighbourhood

, where:

  • p – the point of interest;
  • N(p) – neighbourhood of the point p;
  • q – any other point;
  • distance(p,q) – Euclidian distance between points q and p;
  • eps – epsilon – user-defined distance constant;
  • D – the initial set of points available for the algorithm;

The algorithm treats different points differently depending on density and neighbouring points distribution around the point – its neighbourhood:

afdafafa ssdgsdfgs dsdgfsdfgsg sg sdg fsdfgs dfg sdfgsg

1)
Understanding K-means Clustering in Machine Learning | by Education Ecosystem (LEDU) | Towards Data Science https://towardsdatascience.com/understanding-k-means-clustering-in-machine-learning-6a6e67336aa1 – Cited 07.08.2024.
2)
Robert L. Thorndike (December 1953). “Who Belongs in the Family?”. Psychometrika. 18 (4): 267–276. doi:10.1007/BF02289263. S2CID 120467216.
3)
Peter J. Rousseeuw (1987). “Silhouettes: a Graphical Aid to the Interpretation and Validation of Cluster Analysis”. Computational and Applied Mathematics. 20: 53–65. doi:10.1016/0377-0427(87)90125-7.
4)
Ester, Martin; Kriegel, Hans-Peter; Sander, Jörg; Xu, Xiaowei (1996). Simoudis, Evangelos; Han, Jiawei; Fayyad, Usama M. (eds.). A density-based algorithm for discovering clusters in large spatial databases with noise (PDF). Proceedings of the Second International Conference on Knowledge Discovery and Data Mining (KDD-96). AAAI Press. pp. 226–231. CiteSeerX 10.1.1.121.9220. ISBN 1-57735-004-9.
en/iot-reloaded/clustering_models.1727266695.txt.gz · Last modified: by agrisnik
CC Attribution-Share Alike 4.0 International
www.chimeric.de Valid CSS Driven by DokuWiki do yourself a favour and use a real browser - get firefox!! Recent changes RSS feed Valid XHTML 1.0