This is an old revision of the document!


Fundamentals of autonomous systems

Raivo's proposal:

- Overview of autonomous systems
  * Autonomous cars
  * UGV
  * UAV
  * UUV + vessels
- Autonomy
  * SAE Levels
  * Safety
  * Ethics (Moral dilemmas)
- Technology (only broad overview and intro no single item working principle) e.g. Sensor fusion issues etc.
  * Intelligent control
  * Sensor technology 
  * Electric motors
	Electricity and Magnetism
Basics of Electrostatics

During the observations of the natural phenomena the scientists noticed and discovered that the electric charges interact with each other. Thus, for example, the same charges repel but the opposite charges attract each other. Each charge has an electric field around it which results in this interaction. Electric field is an environment with a forced action onto the charged particleы. Electric field is pictured by means of electric force lines the direction of which correlates with that of the action of the forces. The environment is characterised with its dielectric permeability. An absolute dielectric permeability is (1.1) where ε0 is a constant parameter equal to a dielectric permeability of vacuum; εr – is a relative dielectric permeability indicating how much the charges interacting in a particular environment are weaker than in vacuum. The force of interaction of two point charges is described with the Coulomb's Law. (A point charge is a charge the linear size of which is negligibly small in comparison with the distances between the charges). The Coulomb’s Law states that the force of interaction of two charges is directly proportional to the product of the values of these two charges, inversely proportional to the square value of distance between them and depends on the characteristic of the environment surrounding the charges, i.e. (1.2) where F is the force of the charges interaction, N; Q1, Q2 – values of the charges, C; r - distance between the charges, m; εa - absolute dielectric permeability of the environment, Φ/m. As electric field impacts an electrically charged body placed into it, then the electric field can perform a work, i.e. it has energy. Each point of the electric field can be characterised with an intensity E and potential φ. Intensity of electric field E is (1.3) where F is a force influencing the charge, V/m.

The reserve of energy of an electricity quantity is potential. This work is equal to potential energy of 1 C charge, i.e.

(1.4)

Moving a charge from one point to another point for a distance l in a uniform electric field requires a work A=F∙l. This work is called voltage across these two points

(1.5)

If two points of the field have own potentials, φ1 and φ2 the work to move a single charge between these two points is a difference of two charges

(1.6)

Magnetism and Electromagnetism 

Any constant magnet has two poles: North (N) and South (S). A magnetic flux exists between the poles and the magnetic lines are in the direction from N to S (fig.1.1). The same type of magnetic flux is created around a wire with an electrical current. The direction of the magnetic flux lines in this case is determined by means of screwdriver rule.

Fig 1.1. magnetic field of permanent magnet and wire with electric current Conductors with electric current are considered as a coil. A total magnetic flux is equal to the sum of separate fluxes of each of the conductors (fig.1.2) : (1.7) where w is a number of turns of the coil, Ψ – a value of flux linkage.

Fig.1.2. Magnetic flux of the coil

Faraday’s Law While a constant magnet is moving within a coil with current the magnetic power lines cross the conductor and thus an EMF is induced in the coil (1.8) Therefore, the faster is changing the flux the larger is the EMF induced in the coil. The measurement unit for the magnetic flux is Wb (Weber).

Voltage is directed positively from plus to minus, but EMF – in the opposite direction If both voltage and EMF are in the same direction then

(1.9) Taking this into account Faraday’s Law could be rewritten as the following: (1.10) where w∙dΦ/di is the correlation of the flux linkage and current and is marked as inductance (1.11) Therefore, Faraday’s Law in terms of inductance and changing of current (1.12)

Taking into account Faraday’s Law the mathematical description of an electrical circuit with a coil and resistor is

(1.13) where i, u are instant values of the current and voltage in the dynamics of their changing. This correlation gives an opportunity to calculate the transient process of current changing in the circuit with coil (fig.1.3). Thus equation (1.13) can be used for calculations of the transient processes. The solution of this first-order equation is the following: (1.14) where K1 is a steady-state value with t=∞.

The current in this circuit in steady-state condition is calculated by Ohm’s Law:

(1.15)

Fig.1.3. Electrical circuit and representation of transient process and current diagrams The constant value K2 is calculated from the initial condition at t=0 when i=0: (1.16) where K2 is: K2=-U⁄R.

 The results is 	

(1.17) where τ=L⁄R is time constant [s].

 Magnetic Circuits and Basic Laws
Magnetic Circuit and Its Basic Parameters

Any magnetic circuit consists of magnetic conductors and a source of magnetic motive force (MMF). For magnetic wires steel is used as the best conductor. MMF is created by a winding consisting of a number of turns of conductors (w) with current I and is equal to the product of these two parameters: (1.18) MMF results in the development of magnetic flux Φ with the following flux density: (1.19) where s is a cross-section area of the core. Flux Φ is measured in V∙s, the measurement unit for B is Tesla (T).

Fig.1.4. Realisation of magnetic circuit

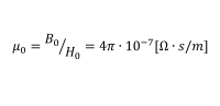
All magnetic conductive materials have magnetising properties described by means of magnetisation curve B=f(H), depending in tis turn on linear magnetising force H. The force is measured dividing MMF by the length l of an average magnetic line. Increasing of B is usually started to limit at B=1.0T, when a saturation process starts (fig.1.5). 

Fig.1.5. Magnetising curve of steel For a simulation of a real magnetising system the linear part of the curve or its part is applied close to the point of saturation, because lower values of magnetising force H are necessary. For the magnetic system given in fig.1.4 the magnetising flux is (1.20) where flux density B depends on H. The value of H higher than saturation Hs0 (fig.4.5) indicating the existence of an air gap δ inside the core of the system (fig.1.4). To overpass this gap a part of general magnetising force is lost (1.21) where δ is a length of the air gap, B – flux density in magnetic conductor, µ0 – magnetic permeability of air, which is

For calculation of a magnetic system for a reactor with a constant inductivity L changing the current from zero to I0 the initial part of the magnetising curve is applied for this purpose and

(1.22) As stated before if the magnetising force is higher than Hs0 the difference should be lost in the air gap (1.23) therefore the air gap can be calculated (1.24)

If all the sizes of the core are known (fig.1.4) the cross-section area of the core is

And the number of turns of the winding Where sc is a cross-section area of the conductor wire, j is current density (about 2*106A/m2), IR – the rated current of the reactor usually lower than I0.

Interaction of electric current and magnetic field

Due to a magnetic flux around a current carrying conductor the flux will interact with external magnetic system. A constant magnet (fig.1.6) creates magnetic flux with density (1.25) If the conductor creating its with magnetic flux Φ2 is normal to the force lines then the repulsive force between the two fluxes (fig.1.6) will be (1.26) where l is an active length of the conductor. The direction of this force is determined with the left hand rule - if the flux lines are crossing an open left hand but the fingers are directed along the current flow in the conductor then the opened thumb points the direction of the movement of the conductor. This is the basics of an electric motor operation.

Fig.1.6. Interaction of magnetic flux and current carrying conductor

If the conductor crosses the magnetic force lines then in accordance with Faraday’s Law an EMF is induces in the conductor. The constant magnet induces magnetic flux Φ1 the density of which is B1, and the conductor moves normally to its force lines (fig.1.7). The EMF induced there is

(1.27) where v is speed of crossing of the force lines Φ1 in m/s. The rule of this movement if the right hand rule - if the constant magnetic flux is going to the opened palm of the right hand but the thumb points the direction of the conductor movement in the flux then the fingers point the direction of the current in the conductor. It corresponds to the phenomenon of the basic principle of AC generator operation.

Fig 1.7. Generation of EMF

The generated EMF depends on the angle between the magnetic force lines and the conductor crossing direction; this is angle α between vectors v and Φ1 (Fig.1.7) and 

(1.28)

For the practical realisation of electric generator the conductor rotates in the constant magnetic flux (Fig.1.8), and an EMF of variable both direction and value is induced in the conductor. The highest value of EMF is induced when the conductor is in the upright position:

(1.29) where the conductor is of a frame form and has two edges and could have a lot of turns w.

Fig.1.8. Realisation of generator

The EMF is changing periodically depending on angle α, an instant value is represented by means of sine-form curve

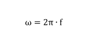
(1.30) The frame rotates with speed ω. For the assumed standard frequency f=50Hz speed is ω=314 rad/s. Period of its full turn T corresponds to angle 2π, thus (1.31) where f is a frequency of the induced EMF.

Chapter 2: Electrical Engineering 2.1. DC Circuits 2.1.1. Elements of DC Circuits

A simple DC circuit consists of a DC source of electrical energy, consumer of the energy that is the load, wires connecting the elements of the circuits, terminals by means of which the wires are connected and connect all the elements, commutating devices (e.g. switches) and protecting devices (e.g. fuses). The DC source contains a source of EMF E and its internal resistance Ri (Fig.2.1). One pole of the source is constantly positive, another – negative. The DC sources of EMF are different - accumulators, photovoltaics, fuel-cells, etc. 

Electrical current is a directed movement of charged particles within a close circuit from the positive pole of the source of EMF to its negative one. In respect to the load the current is a result of an action of the potential difference across the load which is called voltage U. EMF and voltage are measured in volts [V], electric current – in amperes [A].

All the elements of the electrical circuit including conductors and EMF source resist to the current due to their inside structure, this phenomenon is called an electrical resistance (R). The unit of measurement of the electrical resistance is Ohm [Ω]. The resistance of the conductor depends on its material, its length as well as cross-section area. The resistance of the load is calculated for gaining a certain job of the load for the action of the current. The resistance of the load is much higher than that of the energy source and the wires. 

Fig.2.1. A Simple DC Electrical Circuit

Resistance is described with another property of the material – resistivity. Resistivity is different and determined for different materials. Resistivity is marked as ρ, measured in [Ω*m] and influences the resistance of the conductor in the following way:

(2.1) where l – is the length of the conductor, m;

s – cross-section area of the conductor, m2.

All materials are divided into 3 groups:

 1 – conductors of electrical current, which have small level of resistivity ρ, 
2 – insulators with high level of ρ, 

3 – semiconductors the resistivity of which differs depending on specific conditions. For the most useful conduction materials ρ has the following values:

for copper wires ρ=0.0175*10^(-6) Ω*m, 
for aluminium wires ρ=0.027*10^(-6) Ω*m,
for steel wires ρ=0.1*10^(-6) Ω*m.

2.1.2. Ohm’s Law

The correlation of EMF (voltage), resistance and current of a particular circuit is described by means of different laws one of the most important of which is Ohm’s law: the current in the circuit is directly proportional to the EMF (voltage) and reversibly proportional to the whole resistance of the circuit:

(2.2)

Ohm’s law is valid not only for the whole circuit but also for any of its part or element. Then the Ohm’slLaw for a part of the circuit is

(2.3) where U – is a difference of potentials in volts [V]. Ohm’s law for a part of electrical circuit could be formulated as follows: current through a part of an electrical circuit is equal to the voltage, supplied to the terminals of this part divided by the resistance of this part of the circuit. The internal resistance of the source could be determined from the expression: (2.4)

In the case of external loading the voltage between the terminals is U=I∙R<fs xx-small>l</fs>. The voltage supplied to the internal resistance of the source is:

(2.5) Therefore the internal resistance of the source is equal to Ri=1)⁄I.

The ratio of U and I is called a loading characteristic of the source and it is shown in fig.2.2.

Fig.2.2. The loading characteristic of DC source

2.1.3. Electrical Power

Electrical power of any element of the circuit is a product of its current and voltage:

(2.6) Taking into account Ohm’s law two other versions of realisation of the power could be used: (2.7) (2.8)

In DC circuits all the power of the resistive elements is transformed into heat. For the protection of the circuit an especially low resistance of wire with higher resistivity is inserted in series into the circuit. It is so called fuse (see fig.2.1) – circuit protection element. If the current in the circuit is too high a power of higher density if dissipated in the resistance of the fuse and the wire is melted opening the circuit and protecting it from overheating and short circuit operation.

2.1.4. Complex Electrical Circuits and Kirchhoff’s Laws

A real electrical circuit could include more than one source of EMF as well as resistors (loads) connected in different ways. In fig.2.3 one example of a complex circuit containing three resistors and two EMF is shown. Then, current I1 is running to point 1 and currents I<fs xx-small>2</fs> and I<fs xx-small>3</fs> are running in the direction from it. There are three branches of current in the given scheme. 

Fig.2.3. A Complex DC Electric Circuit Kirchhoff’s Current Law states that the algebraic sum of all currents towards a point is zero. If the current runs to the point, it is assumed as positive, then “plus” (+) is applied in the calculations, if the current runs from it then it is assumed as negative and “minus” (-) is applied in the calculations. Therefore in accordance with KCL for the circuit in fig.2.3: (2.11) or (2.12)

For the loops of the same circuit Kirchhoff’s Voltage Law states that the algebraic sum of the EMFs around the loops is equal to the sum of voltage drops. Thus for the left loop (fig.2.3):

(2.13) For the right loop (2.14) These laws and their combination and general solution can be applied for the calculations of currents and other parameters of more complicated electrical circuits.

2.2. Circuits of Single-Phase Alternating Current

Alternating current is a current periodically changing in its value and polarity. Circuits with alternating current are supplied with changing voltage of the value voltage =U<fs xx-small>m</fs>sinωt directly depending on this. If a circuit of alternating current contains a resistor R (see fig.2.4) the instantaneous value of the current i is changing in accordance with the changes of instantaneous value of the supply voltage:

(2.15)

The phasors of current and voltage in the circuit under consideration are congruent in phase, i.e. they are of the same direction and rotate with the same speed. Pointers of a voltmeter V connected in parallel to the input terminals and in series connected ammeter A could not follow to the quick changes of the instantaneous values. The devices are performed following the principle of electromagnetic influence, and they measure the root-mean-square value (RMS):

(2.16)

The correlation between the maximum and RMS values of the sine-form signal is √2 .
If to multiply the instantaneous value of the current and voltage the instantaneous value of the power is obtained as the curve in fig.2.4, which is only positive and changing with double frequency of electric supply network. As all instantaneous values of the power are positive this circuit has only active power, the average value per period of which is 

(2.17)

Active power is measured in watts (W) by means of wattmeter with two coils – the coil of current and the coil of voltage.

Fig. 2.4. AC circuit with resistance and diagram of the its signals

If the circuit contains an inductor (or a coil) like in fig. 2.5, the processes are the following.

Fig.2.5. AC circuit with a coil and diagrams

Voltage across the coil is:

(2.18) Therefore instantaneous value of the current: (2.19)

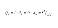
The impedance of the coil is ωL. 

(2.20) Then the maximum value of the current is calculated dividing Um by ωL. But the multiplication of uL and i corresponds to a sine-form signal with double frequency, the average value of which is zero. Therefore, no active power exists there. The power periodically changing in the network is a reactive power (2.21) where UL and IL are RMS values of the voltage and current. (2.22)

Consequently, the reactive power (measurement unit is var) could be represented as

(2.23)

 Electric circuits can also contain an electric device with two insulated plates - capacitor. Direct current cannot flow through the plates. In the case of alternative current:

(2.24) where C is capacity measured in farads (F). Capacity depends on a distance between the plates, their cross-section and characteristics of insulator between them.

The current in the circuit with a capacitor is (fig.2.6): 

(2.25)

Fig.2.6. Scheme and diagrams of AC circuit with capacitor When t=0 and uC=0 the current has a positive maximum value Im, but if ωt=π/2 and iC=0 the voltage has its maximum, i.e. the current iC leads voltage by 90 degrees in phase (fig.2.6). The maximum value of the current could be calculated multiplying Um by ωC. Therefore value 1/ωC refers to a resistance of capacitor. But in this case like in the previous the multiplication of uC and iC is a sine-form signal with double frequency, the average value of which is equal to zero, i.e. no active power generated. Therefore the capacitive impedance is (2.26) but the reactive power is (2.27) Where Uc is RMS value of the voltage, but the current is (2.28)

For both inductive and capacitive cases, the phasors of reactive power as well as that of the current are opposite directed. When u_L∙i_L is negative (fig.2.6), u<fs xx-small>C</fs>∙i<fs xx-small>C</fs> is positive and vice versa. 
More practical application are the circuits with both resistor R and inductance L (fig.2.7).

Fig.2.7. AC circuit with coil and resistor The phasor of the voltage across R coincides in phase with the phasor of current Im, but phasor ULm leads the current Im by 900. Therefore (2.29) In accordance with KVL for vectors in a series connected circuit (U_1 ) ̅=(U_L ) ̅+(U_R ) ̅ . For RMS value (2.30) where Z is called a total impedance of the circuit.

The voltage drop across the resistor gives active power (fig.2.7)

(2.31) The same voltage gives a reactive power in the coil, 90 degrees leading in phase (2.32) but the product of input voltage and current creates so called apparent power (2.33) From the diagram in the figure we can see that (2.34) or (2.35)

This parameter is the relation between useful and apparent power of the circuit and is called “power factor”.  This is another widely used description of active power for the circuits with different elements:

P=U1∙I∙cosφ .

In the following kind of circuits (fig.2.8) the same current i runs through both elements. Vector U<fs xx-small>R</fs>m is in phase with Im , but vector U<fs xx-small>C</fs>m lags that by 90 degrees.

Fig.2.8. Scheme and diagrams of the circuit with capacitance and resistance Then (2.36) For RMS values (2.37) where Z is a total impedance of the circuit. The product of u and i is also a periodic asymmetric to the axis of time curve of double frequency, the average value of which (active power P) is higher than zero.

As we can see from fig.2.8 vector of reactive power Q<fs xx-small>C</fs> lags vector P, but at the same time vector of the apparent power S lags P for φ<90 degrees as well. Power factor in this case is

(2.38) where the reactive power of the capacitor is As QL and QC are mutually opposite directed power QL is assumed to be positive, but QC – negative.

2.3. Three-Phase AC Systems 2.3.1. Generation of Three-Phase Voltage

Three-phase generator consists of stator and rotor similarly like other electric machines. The rotor could be a constant magnet or electro-magnet, but the stator is represented with three frames of conductors shifted behind each other for 1200 (fig.2.9). If the magnet rotates in a clockwise direction then at the position shown in the figure the polarity of EMF induced in the frame A-x is relatively positive, but the amplitude of EMF is maximum. When the rotor shifts for 600 the lead C of the frame C-z is maximum negative relatively to z. After more 600 the lead B of the frame B-y is maximum positive relatively to y, etc. This principle forms a system of three sine-form alternative voltages shifted in time and space for 1200 and relative rotating vectors UAx, UBy, UCz (fig.2.9).

Fig.2.9. Realisation of three-phase sine-form voltages system

If the leads x, y ,z are connected with zero point then the windings have “Y” connection. The voltage induced by each frame is called a phase-to-zero voltage. Thus there are 3 phase-to-zero voltages (UA, UB, UC) shifted for 1200.
The load of the generator in its turn could be connected to each of three phase-to-phase voltages (fig.2.9):

(2.39)

The correlation phase-to-phase and phase-to-zero voltages is also demonstrated by means of the vector diagram (fig.2.11).

Fig.2.10. Electrical scheme of three-phase power supply

Fig.2.11. Vector diagram of three-phase system

From the triangle COB with the side 0.5∙U_(p-0) the following is obvious:

(2.40)

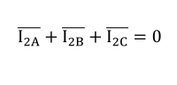
The three phases with a zero wire are supplied to the industrial consumers (fig.2.10). To balance the supply system all three RMS values of the phase-to-zero voltages should be fully the same and symmetric. So do the three phase-to-phase voltages. If all three phase currents of the generator are with the same RMS values and are at same shift angle in respect to the corresponding phase-to-zero voltage then the system of the currents is also symmetric, i.e. (I_A ) ̅+(I_B ) ̅+(I_C ) ̅=0 . The algebraic sum of the instantaneous values of these three currents at any time is also zero. Such supply system is called symmetric and widely applied. 
For the case of symmetric load of a three-phase system the total power is

(2.41) active power (2.42) reactive power (2.43)

Chapter 3. Principles of Operation of Electrical Machines 3.1. Single-Phase Transformer

Transformer changes a sine-form alternative voltage of the primary winding into sine-form alternative voltage of other winding. To realise this transformation a magnetic core should be turned with two windings with w1 and w2 number of turns (fig.3.1). 

Fig.3.1. Single-phase transformer and its phasor diagrams

If both windings of transformer are turned in the same direction, then positive directions of voltage and current of the windings could be shown in the same way. Starting clamp of each winding is marked with a point and the points note the currents of both windings are directed in the same way and magnetic fluxes in both windings also coincide in direction. In fig.3.1 the windings are turned clockwise in respect to the initial clamps marked with the point.
If the directions of EMF and voltage are the same then

(3.1) Therefore, the changes of the magnetic flux are (3.2) The phasor of magnetic flux lags behind the vector U1m by 900. When the magnetic flux goes through the core and crosses the loop of winding w2, it induces EMF of the secondary winding e_2=〖-w〗_2 dΦ/dt=〖-w〗_2∙ω∙Φ_m∙sinωt=-E_2m sinωt , voltage u2 is equal to u_2=-e_2=U_2m sinωt .

Thus the phasors of the voltages of the primary and secondary windings are in phase, but the phasors of both EMF are in counter-phase to that of the voltage (fig.3.1). The maximum value of the flux is

(3.3) The substitution of flux expression with EMF e2 and voltage u2 gives the following (3.4)

The relationship of the two windings values is the factor of transformation

(3.5) that one of the most important parameters of transformers.

From the equation of magnetic flux:

√2∙U_1=w_1∙ω∙Φ_m . Taking into account that ω=2π∙f,Φ_m=B_m∙s : (3.6)

This expression derives the constructive parameters of the transformer: the number of turns of the primary winding w1 and cross-section of the magnetic core s.
The type of transformer operation presented in fig.3.1 is called a mode of open-circuit. In this case I2=0 and E2=U2 , and a low current I10 of the primary winding. If the active resistance of winding w1 is zero, phase I10 is in phase with the phasor of the flux. But some losses of power appear in resistance R1 therefore I1m lags behind U1m in phase by less than 900 (fig.3.1). 
With an active-inductive load in the secondary winding, EMF e2 induces current 

(3.7) where Z – is the total impedance of the secondary circuit of the transformer, φ is the phase shift between phasors I2 and E2 (fig.3.2).

Fig 3.2. Phasor diagram for unloaded single-phase transformer

 Under these conditions MMF of the primary winding compensates the influence of the current I10 and I2 thus the current I1 is increasing:

(3.8)

With a rated load I10 is 5% of I1R only then the following should be taken into account:

(3.9)

Then under a load  U_1∙I_1≈U_2∙I_2, i.e. the apparent powers of the primary and secondary windings can be considered equal to each other, that means the efficiency factor of the transformer is close to 1. 

Transformer could be represented with a substitution scheme (fig.3.3). In accordance with the scheme: (3.10)

Fig.3.3. Substitution scheme of a single-phase transformer The impedance of the secondary winding is (3.11) Using expression (3.6) as well as the geometric parameters of the core in fig.3.1, the main parameters of the transformer are calculated as (3.12) where the value of Bm is equal to 1.1…1.2 T, and j≈2∙〖10〗^6 A⁄m^2 .

3.2. Basic realisation of electrical motor

The operation of any electric motor is based on the phenomenon of electromagnetic induction - interaction of a conductor with electric current and magnetic field. Three conceptions of the motor realisation are possible:

1 – when the current in the conductor influences the flux induced by a permanent magnet (or electromagnet) or opposite transformation; 2 – when the current of the conductor influences a secondary magnetic flux induced by electric current; 3 – when the magnetic flux induced by the current influences a ferromagnetic body (so called reluctance principle).

Fig.3.4 represents the realisation of the first conception. Two separate contact rings a and b are installed on the shaft of the motor. These rings are supplied with the current through unmovable coal brushes. The rings are connected to the frame with two conductors 1-2 and 3-4 parallel to the shaft and normal to the magnetic lines.

In fig.3.4,a the position given in the direction of the current in the conductor 1-2, according to the left hand rule provides the movement of this edge to the left. The current of conductor 3-4 moves it to the right providing thus counter clockwise movement of force F. The value of the force is maximum when the frame is in vertical position.

(3.13) where I is the current of the frame with w number of turns, l – length of the active conductors of the frame, B – is the flux density, T. The product of the force and radius of the frame is called an electromagnetic torque, value that is of top importance for the operation of an electric motor (3.14)

To continue the movement of the frame the current in it changes its direction to the opposite when the both parts of conductor pass 900 from the vertical position (fig.3.4, b). It means that the contact rings a-b are supplied with the voltage of the opposite polarity than in case “a”. 
Speed of the frame movement corresponds to and depends on the frequency of the voltage supplying the frame (for the case of one pair of poles of the motor):

(3.15) While turning the frame the following The power induced in the motor when the frame is rotating: (3.16)

Fig.3.4. Motor realisation in accordance with the first conception

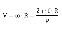
The active power (P) is less than this value for the value of power losses of the rotor. The supplying power of the source is (3.17) which is higher than Pem and P. The ratio of the active power to the supplying power is an efficiency factor of the motor (3.18) Therefore, the current supplied from the source is (3.19) As it has been mentioned already in this particular case the construction of the motor contains only one pair of poles. The motor with four poles (two pairs of poles) is also possible. These poles are located in the order N-S-N-S. Thus two periods of the supplying voltage will take place during the period of one full turning of the frame and for the general case (3.20) where p – is the number of pairs of poles. The number of revolutions per minute is calculated as:

{{ :en:av:321.png?200 |}}	(3.21)
With the aim to change the direction of the frame’s rotation the polarity of the current in positions a and b should be opposite. It means there should be a device detecting the current position of the conductor 1-2 and providing supplying it with a polarity depending on the required direction of rotation. This is a description of the motors with commutation (fig.3.5) when the source of direct current could be connected to the upper position of the conductor 1-2 with the help of the contactor S1 (to rotate the shaft in the counter clockwise direction) or S2 (in the opposite direction).

Fig.3.5. Control of the brushless DC motor with commutation

The commutation could be obtained dividing the contact ring so that conductor 1-2 is connected to the side “a” of the ring (fig.3.6), but the side 3-4 – to the side “b” of the ring. But the direct current in its turn is supplied to the rings by means of two brushes.
In such way the DC motors were developed using the divided contact rings with a pair of brushes as a commutation of direct current. Independently on its construction the rotating frame crosses the magnetic lines and, therefore, EMF is induced in the windings with the maximum value equal to:

(3.22) where v is a tangential velocity (3.23)

Fig.3.6. Realisation of the DC electric motor

The Kirchhoff’s law for the frame is the following:

(3.24) In the case of commutation of direct current X=0 and (3.25) where R is a resistance of a rotating frame. In DC motors (3.26) where c is a constructive constant of the motor depending on the number of poles pairs, number of turns and a type of realisation, Φ is magnetic flux of the poles. Therefore, the speed of rotation of the shaft of the direct current motor is (3.27)

The second concept of the motors in its easiest way is realised with two stator frames located in normal to each other (fig.3.7). The rotor here is a metallic solid body in the form of a squirrel-cage without insulated winding. 

Fig.3.7. Realisation of AC induction motor

If the windings w1 and w2 are supplied from single-phase sources of alternating current and their voltages u1 and u2 are shifted for 900 from each other, then with zero angle the winding w2 creates magnetic flux of the stator the vector of which is turned to the right (Fig.3.7). Otherwise, when the voltage u2 of the winding w2 is positive the downward vector Φ of the flux is created. When u2 becomes negative vector Φ turns to the left, etc., thus the rotating magnetic field of the stator is induced, crossing the rotor. At the initial position an EMF is induced in the rotor in accordance with the right hand rule, this EMF induces current in the direction shown in fig.3.7.
Accordance to the left hand rule the result of the current of the rotor and the rotating magnetic field of the stator is a tangential force F, that provides a torque rotating in the same direction with the stator magnetic field. Therefore, the rotating speed of the magnetic field of the stator is

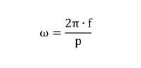
(3.28) where f is the frequency of supplying voltage, p – the number of the poles pairs of the stator.

If two speeds n1 and n2 are equal to each other the magnetic field will not cross the rotor and the torque will be zero. The relative difference of these two speeds will get a great importance in the realisation of induction motor

(3.29)

This conception of the motor is called the double-phase induction motor of double-phase squirrel-cage induction motor.
The direction of stator rotation could be changed with the changing places of the both of leads of one winding relatively to the terminals of the supply source (e.g. winding w2). Thus if vector u2 lags behind u1 by 900 it means the magnetic field of the stator rotates in the opposite direction to that defined in fig.3.7.
Electric power of the motor is 

(3.30) where U, I cosφ are the RMS values of current and voltage and the power factor of each winding.

The current of the winding lags behind by 900 and, if one of the windings is supplied directly but the second through a phase supplying unit, the total current is

(3.31) where I is RMS value of the winding current.

The third motor realisation is based on the conception of a ferromagnetic body placed in a magnetic field and its attraction to the state of minimum magnetic reluctance. The rotor in this case is a kind of cross-section made of a type of iron (fig.3.8), but the stator is a system containing three poles pairs. If voltage is supplied to pole A the rotor is not moving. If pole A is disconnected and pole B is connected to the supply the rotor turns for 300 in a clockwise direction. Further disconnecting B and connecting C the rotor turns for 300 more, etc. This kind of motor is called reluctance motors, i..e. magnetically controlled modulator. 

Fig.3.8. Realisation of the reluctance motor

3.3. Three-phase electrical motor

Realisation of a three-phase electric motor uses the principle of rotating magnetic field. The motor could operate according to synchronous or asynchronous principle. Three windings shifted in space for 1200 are supplied from a three-phase AC voltage system uA, uB, uC with an angular speed of rotating voltage vectors ω (fig.3.9). When 0<ωt<600 voltages uA and uC are positive, but uB negative. It means that the current in the conductors of the 1st and 3rd windings are directed from the reader, but the 2nd – to the reader. Thus a clockwise inclination of magnetic flux appears around the beginning of the 1st and 3rd windings and the end of the 2nd winding. A magnetic flux inclining in an opposite direction appears around the ends of the 3rd and 1st windings and the beginning of the 2nd one. The direction of the total vector of the magnetic flux is shown in fig. 3.9.b.

Fig.3.9. To the explanation of rotating magnetic field in three-phase system

The situation is changed when 600<ωt<1200, then uA is positive, uB and uC are negative. It means that windings 1 and 2 are in previous situation, but the direction of the current in winding 3 is changed to opposite. Thus the flux with a clockwise direction is induced around the ends of the 2nd and 3rd windings and the beginning of the 1st winding. The flux with the opposite direction in its turn is around the beginnings of the 2nd and 3rd windings and the end of the 2nd winding. The total vector of magnetic flux now is horizontal to the left, i.e. the vector has turned for 600 clockwise (fig.3.9.c).
When 1200<ωt<1800, then uA, uB are positive and uC is negative. Then the further clockwise turn of the vector of the total magnetic flux for 600 indicates the new directions of the currents in windings (fig.3.9.d).
During the full period the voltage has 6 such positions and the total vector of magnetic flux makes the full revolution in clockwise direction. With the aim to change the direction of the vector rotation voltage uA should be supplied to the 1st winding, uC – to the 2nd, and uB – to the 3rd one, i.e. the windings of 2 phases should be replaced (fig.3.10). 

Fig.3.10. Rotating magnetic field at reverse of the connection of supply wires A synchronous motor contains a stator with three windings and rotor representing a permanent magnet (fig.3.11). Fig.3.11,a shows the situation when the total vector of magnetic flux is of the up-right position and the rotor turns for the angle of 300 clockwise. The total vector of the stator winding rotates in a clockwise direction then the rotor turns in the same direction. A synchronous motor could get a problem with initially connecting it to supply voltage. As the rotor has a high level of inertia it will not start its rotation immediately and in a half-period the total vector of the flux makes the rotor to turn into the opposite direction (fig.3.11.b).

Fig.3.11. Starting position of synchronous motor with high level of inertia

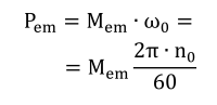
The second case is the realisation of a three-phase induction motor where the rotating magnetic field of the stator induces a current in rotor windings with non-insulated conductors and interacts with the magnetic field of this current (fig.3.12). In the figure the vector of rotating magnetic field of the stator windings rotates clockwise with the velocity n0. According to the right hand rule EMF and current shown in the figure are induced in the massive rotor bars. According to the left hand rule mechanical forces are induced in the system. These forces are directed in the same way like the stator’s magnetic flux rotation and create an electro-magnetic torque Mem which initiates the rotation of the motor shaft.  

To maintain the magnetic field of the rotor the maintenance of its crossing with the rotating magnetic field of the stator is required. This intersection takes place if the speed of rotation of the rotor n1 is less than that of the stator magnetic field rotation n0 (3.32) where p is the number of poles pairs of the stator winding; f1 is the frequency of supply voltage of the stator winding.

Fig.3.12. Representation of the interaction of rotor and stator windings of asynchronous motor This difference of the velocities is characterised with a parameter called slip that is of top importance for this motor operation (3.33) Multiplying an electric magnetic torque Mem of the asynchronous motor by angular velocity of the stator magnetic field ω0 we can get electro-magnetic power (3.34) where n0 is measured in RPM. The rated power of the motor PN is the power produced on the motor shaft and it is less than Pem. But the following power supplied from the network P_1=√3∙U_1∙I_1∙cosφ is higher than Pem. The ratio between the PN and P1 is an efficiency factor. Then the rated current of the stator could be defined as (3.35)

3.4. Three-phase transformer

A three-phase transformer changes three-phase voltage of a some particular level into another voltage of higher or lower value. This kind of transformation is realised on the base of a three bars core with equal cross-section area (fig.3.13). Correspondent primary and secondary phase windings are turned on each of these bars. The both windings in the figure have Y-connection.
If the load and supply voltage are symmetric then all rms values of magnetic fluxes of each bar are equal to each other

(3.36) The rms values of the currents in primary windings are also equal (3.37) The same is in the secondary winding (3.38)

Fig.3.13. Magnetic scheme of three-phase transformer’s realisation

The primary and secondary windings could have also Δ-connection (fig.3.14). Because of that reason the secondary winding in figure fig.3.14,a has no zero wire. In fig.3.14,b the primary is Δ-connection, but the secondary Y-connection. In fig.3.14,c both windings are of Δ-type.
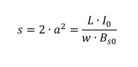
If primary windings are of Y-connection the winding of each phase should be calculated according to the phase-to-zero voltage U_1ph=U_1/√3, where U1 is primary phase-to-phase voltage:

(3.39) where f is frequency, Bm is an extreme flux density (about 1.2 T), w1 is a number of turns for the primary winding, S – cross-section area of the bar.

Fig.3.14. Three schemes for ways of connection of three-phase transformer’s windings

 If primary windings are of Δ-connection then the winding of each phase should be calculated using phase-to-phase voltage:

(3.40)

Independently on the way of connection each of the windows of the core has four windings – two primary and two secondary:

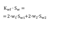
(3.41) where Kwf is a factor characterising a fulfilling of window with the conductor wires (this factor is approximately close to 0.3), Sw is an area of the open space of the window (according to the proportions given in fig.3.13 equal to 8a2), w1 and w2 are the number of turns of the primary and secondary windings correspondingly, Sw1 and Sw2 are cross-section areas for the conductor wires of the windings: (3.42) where IpR and IsR are the rated currents of the primary and secondary windings (I_pR=I_sR/K_TR), j is the density of the current in the wires (about 2∙〖10〗^6 A/m^2).

Taking into account geometrical parameters shown in figure 3.13 and a ratio of the voltages of the primary and secondary windings  U_w1/U_w2 =K_TR, we can get

(3.43) (3.44) Taking into consideration that all these relations we can obtain the expression for calculations of parameters a: (3.45)

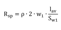
The optimal construction can be evaluated by the surface losses of the coil (W/m2). If the construction is optimal these losses are in the range from 1000 to 1200 W/m2 providing normal operation of the transformer coils at the temperature of the conductors close to the allowed. These losses can be calculated using an equivalent resistance for the both windings of one bar (fig.3.15).

Fig.3.15. Location of the phase winding upon the bars of magnetic core

Reducing the secondary winding to the primary we get the following meaning of the equivalent resistance for a coil

(3.46) where ρ is 0.02∙〖10〗^(-6) Ω∙m , but lav is an average length of one turn of the coil. Losses of the equivalent coil are (3.47) Then the cooling surface of the coil is (3.48) where 14a is a perimeter of the surface (fig.3.21) but 4a is a height of the coil.

  • Power sources
1)
E-U
en/av/fundamentals.1593623211.txt.gz · Last modified: (external edit)
CC Attribution-Share Alike 4.0 International
www.chimeric.de Valid CSS Driven by DokuWiki do yourself a favour and use a real browser - get firefox!! Recent changes RSS feed Valid XHTML 1.0