Hello !
?
Trace:
•
Платформа мобильного робота
•
Модуль датчиков
•
Autorid ja autoriõigus
•
Exercice 2 (TP5)
•
IoT Practical Examples
•
PIR example
•
Exemple 2 (TP2)
•
Fototakisti
•
Distributed sensor network
•
Exercice 1 (TP4)
Search
Introduction
preface
Micro-contrôleurs et robotique
Microcontrôleur AVR
Electronique
Kit ARM-CAN
Kit AVR-CAN
Kit Essuie-glace
Exemples
Projets exemple
Supervisor
conception
methodology
training
Solutions des exercices
Kit Essuie-glace
Exercice 1 (TP4)
Exercice 2 (TP5)
Exercice 3 (TP6)
Developers
Show pagesource
Old revisions
Recent Changes
Backlinks
Media Manager
Sitemap
Log In
Back to top
This is an old revision of the document!
Table of Contents
Exercice 1 (TP4)
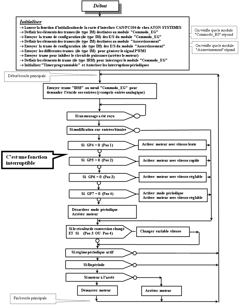
Organigrammes
Fonction principale
Fonction d'interruption
Programme
Exercice 1 (TP4)
Organigrammes
Fonction principale
Fonction d'interruption
Programme
fr/supervisors/solutions/didalab/exercice1.1274992002.txt.gz
· Last modified:
2020/07/20 12:00
(external edit)